Vitamina K: non solo coagulante - Sifa Formazione

Vitamina K: non solo coagulante

Vitamina K: non solo coagulante
14 Luglio 2020 Sifa-Formazione
In Blog, Nutrizione

Introduzione

 

La vitamina K, vitamina liposolubile, è stata identificata per la prima volta nel 1936 come un fattore chiave nella coagulazione del sangue.  Per liposolubile si intende una vitamina che è solubile nei grassi e che l’organismo può accumulare formando delle riserve a livello del fegato.
Scoperta mediante studi in vivo su polli, i quali sono stati alimentati con una dieta a basso contenuto di grassi, mostrando una capacità di coagulazione significativamente inferiore, con conseguente sanguinamento grave.
La frazione lipidica della dieta è stata analizzata, ed è stato scoperto un nuovo fattore antiemorragico.
Questo fattore lipidico solubile è stato dato la prima lettera dell’alfabeto disponibile che ha coinciso con la prima lettera della parola tedesca “Koagulation” e ritenuto essenziale solo per il suo tratto anti-emorragico.
La famiglia della vitamina K è composta da più molecole solubili in grasso strutturate in modo simile contenenti una struttura ad anello 2-metil-1,4-naftochinone chiamata menadione. Naturalmente, la vitamina K si trova in due forme:
  • vitamina K1
  • vitamina K2 (MKs) le quali contengono una catena laterale insatura.

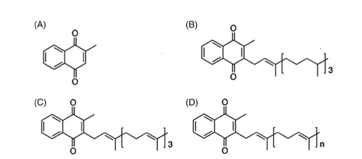
La vitamina K2 può essere suddivisa in sottotipi, vale a dire, a catena corta (cioè menachinone-4; MK-4) e a catena lunga (ad esempio, MK-7, MK-8 e MK- (Fig.1).

Vitamina K: non solo coagulante - Sifa Formazione

Fig. 1 Forme di vitamina K. (A) Menadione, che è presente nei mangimi per animali; (B) phylloquinone, che è la fonte alimentare primaria; (C) menaquinone-4, che è un prodotto di conversione da menadione o phylloquinone; e (D) menaquinone, che possono variare in lunghezza .
 
Vitamine K1 e K2. Quali sono le differenze?
La vitamina K1 è la forma predominante di vitamina K presente nella dieta. La K1 si trova prevalentemente nelle verdure verdi e nelle clorofille vegetali, mentre i menachinone K2 sono sintetizzati da batteri e si trovano principalmente negli alimenti in cui i batteri fanno parte del processo di produzione.
Le principali fonti di K1 includono spinaci, cavolo e cavolo, e l’assorbimento della dieta K1 aumenta in presenza di burro o oli. Oltre ai verdi a foglia, K1 può essere trovato anche in frutta come avocado, kiwi e uva.
Le principali fonti note di K2, invece, sono cibo fermentato, carne e prodotti lattiero-caseari. Altre fonti degne di nota di K2 sono carne di pollotuorli d’uovo, crautimanzo e salmone (Fig.2).
Vitamina K: non solo coagulante - Sifa Formazione
Fig.2: contenuto di vitamina K1 e K2 negli alimenti
Principali funzioni
La funzione più nota della vitamina K è come cofattore nell’attivazione dei fattori di coagulazione dipendenti dalla vitamina K.
Attraverso la modifica post-traduzionale dei residui di glutammato (Glu) nei fattori di coagulazione, la vitamina K consente la carbossilazione post-traslazionale, che consente un’elevata affinità che si lega con il supporto del calcio alle aree di membrana fosfolipidica caricate negativamente e mantiene quindi l’emostasi.
La tipica assunzione raccomandata di vitamina K va dai 140 ai 170 µg al giorno.
Come accennato, il  ruolo del K1 nella coagulazione è ben consolidato ed è stato rivisto altrove. Mentre la posizione della vitamina K2 nella salute e nella malattia è ben riconosciuta all’interno della CVD, dello sviluppo osseo e delle fratture, delle malattie renali croniche e di alcuni tipi di cancro, ma anche nella malattia del fegato, funzione immunitaria, malattie neurologiche e l’obesità.
Vitamina K2 ed osteoporosi
Focalizzando l’attenzione su quello che è il ruolo della vitamina K2 nel trattamento dell’osteoporosi, è  stato effettuato uno studio condotto su  210 donne con osteoporosi, selezionate e trattate con vitamina K2 o stronzio ranelato (sale di stronzio, farmaco usato nel trattamento dell’osteoporosi).
Dopo 6 mesi di trattamento, sono stati valutati i livelli degli indicatori dei cambiamenti nel metabolismo e densità minerale ossea.
I risultati hanno mostrato che il ranelato dello stronzio e la vitamina K2 avevano effetti terapeutici significativi sull’osteoporosi. Entrambi i trattamenti hanno aumentato significativamente i livelli di  BMD (densità minerale) del collo femorale, delle vertebre lombari, del trochanter maggiore e dell’anca totale.
Inoltre, i trattamenti hanno ridotto l’attività di risurrezione ossea e promosso l’attività osteogenica (Fig. 3).
Vitamina K: non solo coagulante - Sifa Formazione
Fig.3: valori del BMD sei mesi dopo il trattamento
 
  
 
 
Conclusioni
Sebbene la vitamina K è conosciuta da sempre per le sue importanti proprietà anti-emorragiche, è bene sottolineare anche altre preziose funzioni.
Infatti, la vitamina K2 mitiga lo squilibrio nel metabolismo dei tessuti ossei e ha un effetto regolatore bidirezionale promuovendo il tasso di formazione delle ossa, inibendo al contempo la velocità con cui le ossa sono riassorbite.
Essa promuove la formazione ossea principalmente attraverso due percorsi:
  • una via prevede la carbossilazione dei residui di glutammato mediata da vitamina K2 in osteocalcina per formare osteocalcina carbossilata e la promozione della deposizione di sale di calcio, migliorando così la mineralizzazione ossea.
  • La seconda via è coinvolta nello steroide e recettore eterogeneo (SXR) con conseguente aumento dell’aggregazione di collagene.
Pertanto, fare una scelta attenta degli alimenti che consumiamo quotidianamente risulta essere importante in modo tale da apportare al nostro organismo i giusti macro e micro nutrienti.

 

 

Dott. Fabrizio D’Agostino

Chinesiologo
Biologo Nutrizionista
Master in Medicina cellulare
Master in dietetica e medicina dello sport

Iscriviti
Notificami
guest
0 Commenti
Vecchi
Più recenti
Feedback in linea
Visualizza tutti i commenti
Call Now Button
Loghi pagamenti disponibili con Sifa